研究ファイルNo.47:遺伝子多型は飲酒習慣を通して、空腹時血糖値と関連する
飲酒と2型糖尿病リスクとの関連は多くの疫学研究で報告されていますが、否定的な研究もあり、一致した見解が得られていません。15のコホート研究を統合したメタ分析では、中度の飲酒者で2型糖尿病のリスク低下が見られ、重度飲酒者では見られませんでした(Koppes LL et al, Diabetes Care, 2005; 28: 719-725)。一方、日本人を対象とした5のコホート研究をまとめた系統的レビューでは、体格指数が低い群においで、中度の飲酒は2型糖尿病リスク上昇と関連していました(Seike N et al, Asia Pac J Clin Nutr, 2008; 17: 545-551)。これらの相反する結果はそれぞれの人種における飲酒習慣の遺伝的感受性の違いによるものかもしれません。したがって、飲酒習慣と関連するADH1B Arg48His 及びALDH2 Glu504Lys遺伝子多型と空腹時血糖値との関連を検討する必要があると考えました。
アルコールは体内でまずアルコール脱水素酵素(ADH)によってアセトアルデヒドに変換され、そして、アセトアルデヒド脱水素酵素(ALDH)により酢酸に変換されてから排泄される。アルコール脱水素酵素(ADH)にいくつの遺伝子が知られ、アジア人に多く見られる遺伝子ADH1Bには三つの遺伝子型が存在し、酵素活性に差が見られます。アセトアルデヒドは毒性があり、飲酒による不良反応の主な要因と考えられています。アジア人において、アセトアルデヒドは主にアセトアルデヒド脱水素酵素(ALDH2)によって代謝されます。この酵素には、遺伝子型が三つあり、酵素活性に差がみられ、飲酒量を規定すると報告されています(Yoshida A et al, Prog Nucleic Acid Res Mol Biol, 1991; 40: 255-287)。
そこで、私たちは今回、J-MICC研究に参加された1819人名の方々において、ADH1B遺伝子多型及びALDH2遺伝子多型と空腹時血糖値との関連を解析した。これらの遺伝子多型とアルコール摂取量との交互作用も検討した。統計解析には、年齢、地域、日常の運動習慣、コーヒー摂取量、喫煙、糖尿病の既往歴および肥満などの影響を考慮しました。
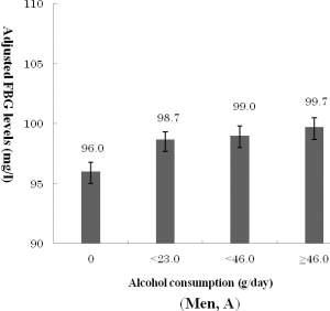
解析の結果、男性では、ALDH2 Glu504Lys遺伝子多型によって、空腹時血糖値のレベルに差が見られました(P = 0.04)。飲酒との交互作用の検討では、アルコール摂取量が多くなるほと、酵素活性が低いALDH2 504 Lys アレルを持つ者で空腹時血糖値が高くなる傾向(Ptrend = 0.02)が見られましたが、活性が強いGlu/Glu型では見られませんでした。しかしながら、交互作用は認められませんでした(P = 0.38)。アルコール摂取量と空腹時血糖値との関連の検討では、男性で、アルコール摂取量が多くなるほど、空腹時血糖値が上昇する傾向が見られましたが、女性では認められませんでした(図1)。ADH1B Arg48His遺伝子多型と空腹時血糖値との関連は見られませんでしたし、飲酒との交互作用も見られませんでした。
これらのことから、日本人男性で、ALDH2 Glu504Lys遺伝子多型は飲酒習慣を通して、空腹時血糖値レベルと関連していることが示唆されました。交互作用の検討では、大規模の参加者が必要ですので、今後、さらなる研究が期待されます。
図1 空腹時血糖値とアルコール摂取量との関連
出典:
- Yin G, Naito M, Wakai K, Morita E, Kawai S, Hamajima N, Suzuki S, Kita Y, Takezaki T, Tanaka K, Morita M, Uemura H, Ozaki E, Hosono S, Mikami H, Kubo M, Tanaka H; Japan Multi-institutional Collaborative Cohort (J-MICC) Study Group. ALDH2 polymorphism is associated with fasting blood glucose through alcohol consumption in Japanese men. Nagoya J Med Sci 2016; 78: 183-193.

